본문 바로가기
일상

[완벽정리!! 2025년 공무원 봉급표 ] 9급·8급·7급 월급 & 연봉, 수당 혜택 총정리!

by lovedeveloping 2025. 4. 5.
반응형

호봉 표
호봉 표

2025년 공무원 봉급표가 새롭게 개정되었습니다. 9급, 8급, 7급 공무원의 월급과 연봉은 물론 다양한 수당 혜택까지 철저히 분석했습니다. 공시생과 현직자 모두에게 필요한 공무원 급여 정보를 완벽하게 정리했습니다.

목차

  1. 2025년 공무원 봉급표 개정 소식
  2. 공무원 급여 체계의 이해
  3. 2025년 9급 공무원 월급 및 연봉
  4. 2025년 8급 공무원 월급 및 연봉
  5. 2025년 7급 공무원 월급 및 연봉
  6. 알아두면 좋은 공무원 수당 혜택
  7. 미래 전망 및 급여 상승 가능성

1. 2025년 공무원 봉급표 개정 소식

안녕하세요, 여러분! 2025년 공무원 봉급표가 발표되면서 많은 공시생과 현직 공무원분들의 관심이 높아지고 있습니다. 올해는 전년도 대비 일정 수준의 봉급 인상이 이루어졌는데요, 이는 물가상승률과 경제성장률을 고려한 정부의 결정이라고 합니다. 공무원 봉급표는 계급과 호봉에 따라 체계적으로 구성되어 있으며, 특히 9급, 8급, 7급 공무원의 급여 체계에 대해 정확한 데이터를 바탕으로 상세히 알아보겠습니다. 공시생이라면 합격 후 받게 될 실제 급여, 현직 공무원이라면 올해 달라진 급여 체계를 확인하시기 바랍니다.

2. 공무원 급여 체계의 이해

공무원 급여는 크게 기본급(봉급)과 수당으로 구성됩니다. 기본급은 직급과 호봉에 따라 결정되며, 수당은 직무 특성이나 근무 환경에 따라 추가적으로 지급되는 금액입니다.

 

공무원 호봉은 경력에 따라 매년 상승하며, 1호봉부터 시작해, 경력이 있다면 심사를 통해 추가 호봉을 인정받을 수 있어 실제 초임 급여는 더 높을 수 있습니다.

 

공무원 급여는 계급별로 1급(차관급)부터 9급까지 나뉘어 있으며, 각 계급은 다시 등급으로 세분화됩니다. 9급은 1등급, 8급은 2등급, 7급은 3등급으로 분류되어 봉급이 책정됩니다. 공무원 급여를 정확히 계산하려면 기본급에 각종 수당을 더하고 세금과 4대 보험료를 공제해야 합니다.

3. 2025년 9급 공무원 월급 및 연봉

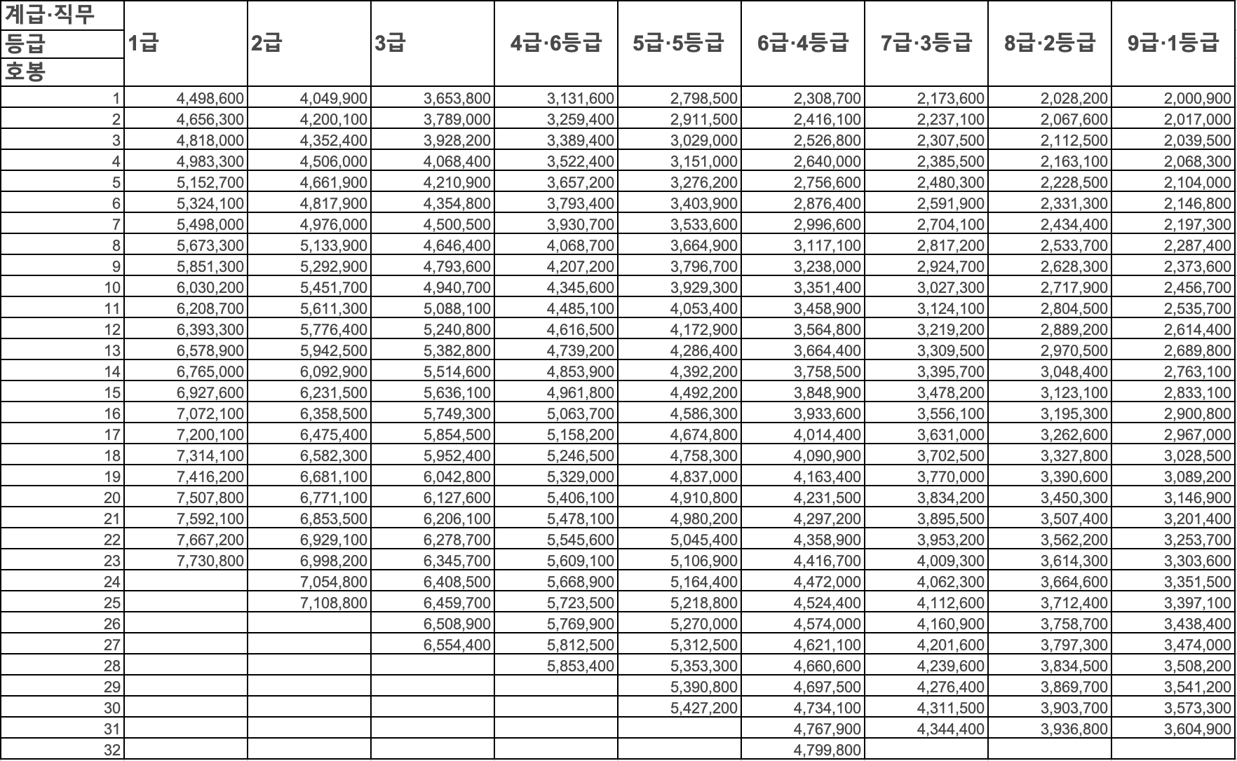
9급 공무원은 공직 입문 단계로, 많은 공시생들이 첫 목표로 삼는 직급입니다. 2025년 기준, 9급 공무원(1등급)의 기본급은 다음과 같습니다.

  • 1호봉: 2,000,900원
  • 5호봉: 2,104,000원
  • 10호봉: 2,456,700원
  • 15호봉: 2,833,100원
  • 20호봉: 3,146,900원
  • 25호봉: 3,397,100원
  • 30호봉: 3,573,300원
  • 32호봉: 3,604,900원

9구급 봉급 표
9구급 봉급 표

9급 공무원의 초임(대졸 기준 8호봉)은 기본급으로 월 2,287,400원, 여기에 각종 수당을 더하면 월평균 실수령액은 약 250~270만 원 선입니다. 연간으로 계산하면 연봉은 약 3,000~3,240만 원 수준이 됩니다. 물론 근무지역, 부서, 업무 특성에 따라 차이가 있을 수 있습니다.

 

특히 2025년부터는 9급 공무원의 복지포인트가 소폭 상승하여 연간 400포인트(40만 원 상당)가 추가 지급됩니다. 이는 실질적인 급여 향상 효과로 볼 수 있겠습니다.

4. 2025년 8급 공무원 월급 및 연봉

8급은 9급에서 승진한 직급으로, 일정 기간의 경력이 필요합니다. 2025년 기준, 8급 공무원(2등급)의 기본급은 다음과 같습니다.

  • 1호봉: 2,028,200원
  • 5호봉: 2,228,500원
  • 10호봉: 2,717,900원
  • 15호봉: 3,123,100원
  • 20호봉: 3,450,300원
  • 25호봉: 3,712,400원
  • 30호봉: 3,903,700원

8급 봉급표
8급 봉급표

8급 공무원은 평균적으로 월 실수령액 280~310만 원 정도를 받게 되며, 연봉으로 환산하면 약 3,360~3,720만 원 수준입니다. 여기에 초과근무수당, 성과상여금 등이 추가될 수 있습니다.

 

주목할 점은 2025년부터 8급 공무원의 직급보조비가 조정되었다는 것입니다. 이는 실질적 소득에 영향을 미치는 요소입니다.

5. 2025년 7급 공무원 월급 및 연봉

7급 공무원은 중간 관리자급으로, 실무를 총괄하는 중요한 위치입니다. 2025년 기준, 7급 공무원(3등급)의 기본급은 다음과 같습니다.

  • 1호봉: 2,173,600원
  • 5호봉: 2,480,300원
  • 10호봉: 3,027,300원
  • 15호봉: 3,478,200원
  • 20호봉: 3,834,200원
  • 25호봉: 4,112,600원
  • 30호봉: 4,311,500원
  • 32호봉: 4,799,800원

7급 봉급표
7급 봉급표

7급 공무원의 월 실수령액은 평균 320~350만 원 수준이며, 연봉으로는 약 3,840~4,200만 원에 해당합니다. 7급부터는 각종 관리업무수당과 직책수당 등이 추가되어 실제 수령액은 더 높아질 수 있습니다.

 

7급 이상의 공무원은 승진 가능성이 높아져 장기적인 소득 증가를 기대할 수 있는 것도 큰 장점입니다. 2025년부터는 7급 공무원의 관리업무수당이 기존 직급보조비에서 분리되어 독립적으로 지급되며, 금액도 소폭 인상되었습니다.

6. 알아두면 좋은 공무원 수당 혜택

공무원의 실제 급여는 기본급 외에도 다양한 수당으로 구성됩니다. 2025년 기준 주요 수당 혜택을 알아보겠습니다.

기본 수당

  • 정근수당: 연 2회(1월, 7월) 지급, 호봉별로 50~100만 원
  • 가족수당: 배우자 4만 원, 첫째·둘째 자녀 각 2만 원, 셋째 이후 자녀 각 3만 원
  • 직급보조비: 9급 14만 원, 8급 15만 원, 7급 17만 원 (월 지급)
  • 초과근무수당: 시간당 1.5만 원~2.5만 원 (직급별 차등)

특별 수당

  • 명절상여금: 설날, 추석에 각 기본급의 60% 지급
  • 복지포인트: 연간 기본 400포인트 + 근속연수에 따른 추가 포인트
  • 성과상여금: 근무평가에 따라 차등 지급 (기본급의 50~200%)
  • 급식보조비: 월 14만 원
  • 직무수당: 특정 직렬(간호직, 보건직, 연구직 등)에 추가 지급

2025년 특별히 주목할 점은 육아휴직 수당의 상향 조정입니다. 첫 3개월간 통상임금의 80%(상한액 150만 원)에서 90%(상한액 180만 원)로 인상되었으며, 4~12개월은 50%(상한액 120만 원)에서 60%(상한액 140만 원)로 조정되었습니다. 워라밸을 중시하는 공무원 제도의 변화를 실감할 수 있는 부분입니다.

7. 미래 전망 및 급여 상승 가능성

공무원 급여는 정부의 예산 계획과 경제 상황에 따라 매년 조정됩니다. 최근 5년간의 공무원 급여 인상률을 보면 평균 2~3% 수준을 유지하고 있어, 앞으로도 이 정도의 완만한 상승세는 기대할 수 있습니다.

 

정부의 공직 경쟁력 강화 정책에 따라 최근 몇 년간 하위직급의 급여 인상폭이 상대적으로 크게 나타나는 경향이 있습니다. 9급과 8급 공무원의 실질 소득 향상을 위한 정책이 지속적으로 추진될 전망입니다.

 

또한 공무원 연금제도의 안정성도 큰 장점입니다. 33년 이상 재직 후 퇴직하면 퇴직 전 3년 평균 소득의 약 50% 수준을 평생 연금으로 받을 수 있습니다. 이러한 장기적 안정성이 공무원 직업의 가장 큰 매력 중 하나입니다.

 

공무원을 준비하시는 분들이라면 급여만큼이나 직업 안정성, 워라밸, 복지 혜택 등을 종합적으로 고려하시는 것이 좋겠습니다. 여러분의 공시 준비와 커리어 계획에 이번 포스팅이 도움이 되길 바랍니다.

 

혹시 특정 직렬이나 지방직 공무원의 급여 체계에 대해 더 알고 싶으신가요? 댓글로 질문해 주시면 추가 정보를 공유해 드리겠습니다.

 

반응형